6 STEM UNCOMMONLY WORDS

JERFEL JOSEPH AZCONA

WESLEY BOEI AMAMIO

1. Fallacy


v

Definition:


fallacy is a misleading argument or belief based on a falsehood. … In poetry, the “pathetic fallacy” is the false idea that things like rocks or stars have human feelings (pathos). Fallacy can also be used more generally for any false statement or idea.

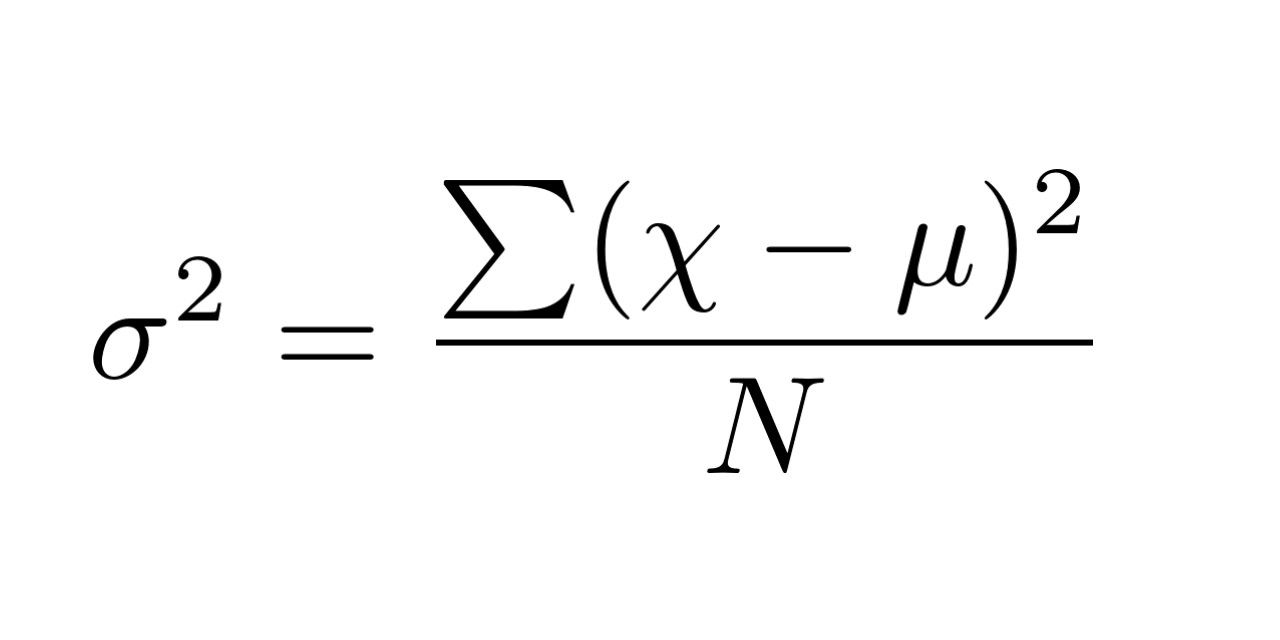
2. Variance

Definition:

Variance (σ2) is a measurement of the spread between numbers in a data set. … Variance is one of the key parameters in asset allocation.

3. Molecule

Definition:

molecule is the smallest particle in a chemical element or compound that has the chemical properties of that element or compound. Molecules are made up of atoms that are held together by chemical bonds. These bonds form as a result of the sharing or exchange of electrons among atoms.

4. Asymptote

Definition:

In analytic geometry, an asymptote (/ˈæsɪmptoʊt/) of a curve is a line such that the distance between the curve and the line approaches zero as one or both of the x or y coordinates tends to infinity.

5. Lahar

Description:

Lahar  is a violent type of mudflow or debris flow composed of a slurry of pyroclastic material, rocky debris and water. The material flows down from a volcano, typically along a river valley.

6. Discontinuity

Definition:

discontinuity is point at which a mathematical object is discontinuous. The left figure above illustrates a discontinuity in a one-variable function while the right figure illustrates a discontinuity of a two-variable function plotted as a surface in .